İktisat Nedir? İktisat Üzerine Söyleşiler‘in giriş bölümüdür (İletişim Yayınları / Başvuru, ISBN: 9789750514562)
Bu giriş yazısını okumanıza hiç gerek yok!
Değerli zamanınızı bu giriş yazısını okumak için harcamayın. Hemen kitabın birinci bölümüne geçin ve söyleşileri okumaya başlayın. Hanginiz maymunların cinsel ilişki için nasıl para kullandığını veya ABD’de gençlerin daha fazla oral seks yapmasının ardındaki iktisadi mantığı bilmek istemez? Bunları ve daha fazlasını bu kitapta bulacaksınız. Kitabı okuduktan sonra eğer çok merak ederseniz bu sayfaya geri dönüp aşağıdaki giriş yazısını okursunuz.
***
İktisadın kasvetli bir bilim olduğu söylenir. İktisat öğrencilerine sorarsanız, iktisat hem kasvetli hem de sıkıcı bir bilimdir. Grafikler, denklemler ve istatistiklerle bezeli olduğu halde gerçek dünya ile hiç ilişkisi yokmuş gibi görünen bir bilim!

Bu grafikte, S ve D ile gösterilen iki çizgi sırasıyla arz ve talebi temsil ediyor. İktisatçılara göre bu çizgiler Homo Economicus diye anılan süper zeki ve aşırı rasyonel bir varlığın yaptıklarını özetler. Gerçi bu varlığı gerçek dünyada bulmak oldukça zordur ama iktisatçılar bu grafikteki çizgilerin bizim davranışlarımıza da ışık tutacağını düşünür. İktisat ders kitapları otistik yeteneklere sahip olduğunu düşünebileceğimiz bu hayli ilginç varlığın hikâyelerini anlatabilmek için aşağıdaki gibi ifadeler kullanır:

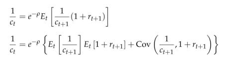
Tabii iktisat kitaplarını okudukça hikâye aşağıdaki gibi daha da heyecanlı bir hal alır:

İktisatçı, bu ifadeleri görünce heyecanlanan ilginç bir insan tipidir. Muhtemelen siz iktisatçıları gazetelerin en sıkıcı sayfalarını okumak zorunda kalan zavallılar veya borsadaki “trend”lerle takıntılı bir ilişkisi olan para delileri olarak görüyorsunuzdur. Yine de onlar hakkında bir kez daha düşünmek isteyebilirsiniz. En azından onlara paranızı nereye yatıracağınızı sormadan önce nereden geldiklerini bilmenizde fayda var. İktisatçılar sizinle iletişime geçebilmek için denklemlerin ve soyut modellerin dünyasından çıkıp sizin dünyanıza gelmelidir. Ancak, bir iktisatçının “dolar ne olur?” sorunuza cevap vermek için soyut modellerin dünyasından çıkıp gelmesi oldukça uzun bir zaman alabilir! Homo Economicusların ve benzer “tanrısal” varlıkların dünyasına hâkim olan bu insanlar (iktisatçılar) size “dolar düşecek” demeden önce bayağı bir çalışmak zorundadırlar. (Siz gazetelerdeki bazı köşe yazarlarına bakmayın. Onlar işkembe-i kübradan sallıyorlar.) Üstelik aylarca çalışıp, modellere ve istatistiklere iyice bir işkence ettikten sonra bile size “dolar al” veya “paranı şu hisse senedine yatır” diyemezler. Ancak, o da belki, şöyle bir şey söyleyebilirler:
“Eğer dış talep daralmaz, siyasetçiler saçmalamaz, merkez bankası sürpriz bir hareket yapmaz, tüketiciler güvenini kaybetmez, kredi derecelendirme kuruluşları not düşürmez, kimsenin tercihi değişmez, piyasadakiler toptan delirmez ve diğer bütün her şey aynı kalırsa, bir ihtimal dolar yükselebilir.”
Dolarla ilgili sorunuza ek olarak, bir de “ekonomik kriz mi geliyor?” diye sorarsanız, bu zavallı iktisatçıları hepten şaşırtabilirsiniz. İnanmıyorsanız, en yakınızdaki iktisatçıya gidip bir sorun!
Son kertede iktisatçıların öngörüleri pek çok kişinin gözünde astrologlarınkinden daha değerli değildir. Eğer söz konusu olan sadece öngörü yapmaksa, astrologlar da iktisatçılar gibi karmakarışık bir evrende olup bitecekleri öngörmeye çalışmaktadır. Günlük astroloji raporu âşık olacağınızı söylüyor da siz âşık olmuyorsanız, muhtemelen yükselen burcunuzu bilmiyorsunuzdur. Anneniz saat kaçta doğduğunuzu doğru hatırlamıyor olabilir veyahut bazı astrologların dediğine göre asıl bilmeniz gereken şey olan anne karnına düşme zamanınızı (gün-ay-yıl-saat-dakika-saniye olarak) bilmiyorsunuzdur. Büyük bir tesadüf eseri bu bilgiye sahipseniz ve yıldız haritanız hala saçmalıyorsa, muhtemelen daha ayrıntılı bir astrolojik analize ihtiyacınız vardır. Sonuçta gezegenler ve yıldızlar birbirlerini ve sizi çok çeşitli şekillerde etkiliyor olabilir. Bunu nasıl yaptıklarını öğrenmek için birkaç yüz dolar ödeyip iyi bir astrolog bulmalısınız! Şaka yapmıyorum. İktisatçılara göre bu hareketiniz dolara olan talebi arttırabilir, ama bu harcamanın temel etkisi bambaşkadır: Para verdiğiniz zaman astrologlardan daha fazla yararlandığınızı sanacaksınız. Tıpkı çok para verdiğiniz bir şarabın, iyi bir şarap olmadığı halde, çok iyi bir şarap olduğunu sanacağınız gibi.
“İktisattan bahsediyorduk, astroloji de nereden çıktı?” diyor olabilirsiniz. Haklısınız. Astroloji bir bilim değildir. En azından bilim camiası astrolojiyi bir bilim olarak değerlendirmiyor. Pek çok kişiye göre ise iktisat bir bilimdir! (İktisat için Nobel ödülü bile veriliyor!) Peki, bu iki araştırma alanını, yani iktisat ile astrolojiyi, birbirinden ayıran şey nedir? Pek çok kişinin astrolojiyi bir şarlatanlık, iktisadı bir bilim olarak görmesinin nedeni nedir?
İyi astrologlar en az iyi iktisatçılar kadar para kazanıyor. Gerçi astrologların iktisatçılar kadar matematik bilmesi gerekmiyor ama onlar da astrolog olmayanların anlamadığı bir dil konuşuyor. Arada bir “geriye giden” Satürn’ün gizemine kanıp astrologlara inanmakla, anlaşılmaz matematiksel modelleri ile bizleri paralize eden iktisatçılara inanmak arasındaki temel fark nedir? Her ikisi de muğlak ve çoğu zaman yanlışlanan öngörüler yapıyor. Astrolog “para gelecek” diyor gelmiyor; iktisatçı “kriz olmayacak” diyor oluyor. Neyse ki öngörülerine güvenebileceğimiz Rıdvan Dilmen var. O “gol olur” deyince gol oluyor!
Soru şu: İktisadı bilim, astrolojiyi şarlatanlık yapan şey nedir? İktisatçıların şarlatanlık yapıp yapmadığını nasıl bilebiliriz?
Diğer bilimlerle kıyaslandığında iktisadın bilimselliğini sorgulamamıza neden olabilecek pek çok şey var. Az önce bahsini ettiğim Homo Economicus, iktisadın söylediklerine şüphe ile bakılmasına neden olan temel unsurlardan biri. Gerçek insana çok da benzemeyen bu varlık, iktisat modellerindeki baş aktörlerden biridir. Ama sadece o değil. İktisatçılar gerçeğe uygun olmayan pek çok varsayımla çalışıyor. Onların dünyasında az sayıda mal ve hizmet var, işlem maliyetleri sıfır, piyasalar mükemmel bir biçimde işliyor. Gerçek dünya ise çok karmaşık: İktisatçıların varsayımlarının çoğu gerçek dünyada geçerli değildir! Bu sebeple pek çok kişi, özellikle de iktisat öğrencileri, iktisadı bir bilim olarak görmekte güçlük çeker. Haksız da değiller. Sosyal bilimler felsefesiyle uğraşan önemli felsefeciler ve iktisatçılar da iktisat modelleri ile gerçek dünya arasındaki ilişkiyi anlamak ve gerekçelendirmekte güçlük çekiyor. Eğer bu konularla bugüne kadar hiç ilgilenmediyseniz, iktisadın ne menem bir bilim olduğu konusundaki makale ve kitapların sayısına şaşıp kalabilirsiniz.
Çoktan anlamış olabileceğiniz gibi, bu kitaptaki amaçlarımdan biri kafanızı karıştırmak! Kafanız karışırsa bu karışıklığı gidermek için soru sormaya başlayabilirsiniz. Bu kitap, iktisadın bir bilim olarak niteliği ile ilgili sorulara bir giriş yapıyor. Size, daha önce aklınıza gelmeyen bazı soruları sordurmayı ve iktisat hakkında biraz daha meraklanmanızı sağlamayı amaçlıyor. Bunun yanında ek amaçlarım da var. Örneğin, iktisadı kasvetli ve sıkıcı bir bilim olarak görenlere iktisadın o kadar da sıkıcı olmadığını göstermek.
İktisat ilginç bir bilim (tabii gerçekten bir bilimse) ama iktisadın ilginçlikleri ile tanışamadan iktisattan soğumak oldukça kolay. İster iktisada meraklı bir genel okuyucu olun, ister iktisada giriş dersini yeni almaya başlamış bir öğrenci olun, ister iktisattan bıkmış bir iktisatçı olun, sizi iktisadın çeşitli ilginçlikleri ile de tanıştırmayı amaçlıyorum. Eğer iktisat öğrencisi iseniz, hocalarınızın başını ağrıtacak ukala öğrenciler haline gelmeniz için elimden geleni yapacağım. Eğer zaten sıkıcı bir iktisatçı iseniz, o kadar da sıkıcı olmanıza gerek olmadığını göstermeye çalışacağım. Ama en önemlisi, iktisatla ilgilenen herkese iktisadı sevmek ama severken de sorgulamak için bir başlangıç noktası sunmayı amaçlıyorum.
Bu kitabı niye yazdığımı merak ediyor olabilirsiniz. Onu da açıklayayım. Verdiğim derslerde öğrencilerin iktisat kitaplarını ya kutsal kitaplar gibi ya da zamanı gelince mangal yakmak için kullanılacak değersiz kâğıtlar topluluğu gibi gördüklerine kanaat getirdim. İktisat ders kitaplarının kutsal kitap olmadığını biliyoruz Gerçi Adam Smith’in Ulusların Zenginliği ve Karl Marks’ın Kapital’inin kutsal kitap statüsüne çok yakın olduğunu söyleyebiliriz ama aklı başında hiç kimse bu kitaplarda yazanları mutlak doğrular olarak değerlendirmez. Öte taraftan, iktisat kitapları mangal yakarken gerçekten işe yarıyor ama herhalde varlık sebepleri bu olamaz.
İktisat kitaplarına kutsal kitap gözüyle bakıp ezberleyenlerin de mangal yakmak için mezun olmayı bekleyenlerin de derdi aslında aynı. Çoğu, iktisat modelleri ile gerçek dünya arasındaki ilişkiyi kuramıyor. Pek çok öğrencinin kafasında iktisat öğrenmenin iktisat derslerini geçmekten başka bir fonksiyonu ve faydası yok. Üstelik buna rağmen veya belki de tam da bu sebeple, kitaplarda yazanları sorgulamıyorlar. İktisadın ilginç, eğlenceli yanlarından da haberdar değiller. Bazı öğrenciler, Cobweb Teoremi’ndeki “Cobweb”i bir iktisatçı sanıyor ama Milton Friedman’ın veya Douglass North’un kim olduğunu bilmiyor (siz de bilmiyorsanız hemen Wikipedia’dan bir bakın). İktisattaki farklı akımlardan veya yeni gelişmelerden haberdar olan pek kimse de yok. Kısacası iktisat modellerini ve grafiklerini ezberleyecek kadar çok iktisat çalışmış olan iktisat öğrencilerinin bile iktisat hakkında fazla bir şey bildiğini söylemek (maalesef) zor. Ayrıca, üzülerek belirtmek isterim ki KPSS kursundaki iktisat öğretmeniniz de muhtemelen neden bahsettiğini pek bilmiyor – gerçi ülkemizdeki eşi benzeri bulunmaz sınav sisteminin doğası gereği bilmesi de gerekmiyor ama olsun!
Yukarıdaki sebeplerle, bu durumu biraz olsun iyileştirmek, öğrencilerin iktisat modelleri ile gerçek dünya arasındaki ilişkiyi kurmasına yardımcı olabilmek için çalışmaya başladım. Öğrencilerimin benden nefret etmesini göze alarak onlara derslerimde pek çok okuma ve ödev verdim. Verdiğim okumaların ne kadar işe yaradığını tam olarak bilemiyorum. Ancak, zaman içinde işe yaradığını düşündüğüm bir yöntem buldum. Aslında çok uzun zamandan beri kullanılagelen bir yöntemdi bu: Diyalog!
Derslerde herkesin konu hakkında dilediğini söylemesine ve sormasına olanak veren oldukça rahat bir ortam yaratarak, öğrencileri konuşmaya ve tartışmaya teşvik ettim. Daha önemlisi, her türlü kavramı sorgulamalarını sağlamaya çalıştım. Tabii bunu her derste yapmak kolay değildi. En uygun dersler iktisadın yöntemi ile ilgili derslerdi. Bu derslerde gördüm ki öğrenciler kendilerine hap gibi verilen iktisadi kavramları sorguladıkça bu konulara daha çok ilgi duyuyor ve iktisadın nasıl bir bilim olduğunu (veya olmadığını) daha iyi kavrıyordu.
Konuşma, muhabbet, sohbet, hoşbeş, söyleşi, diyalog… Her ne derseniz deyin, biraz olsun işe yarıyordu. Bu gözlemden yola çıkarak ve Platon’un diyaloglarından da feyz alarak benzer bir şeyi yazılı olarak da yapabileceğimi düşündüm. Ankara Üniversitesi Siyasal Bilgiler Fakültesi Felsefe Topluluğu’ndaki arkadaşların dergisine iki küçük deneme yazdım. Olumlu tepkiler alınca bu işi geliştirmeye karar verdim. Ortaya bu kitap çıktı!
Kitaptaki iki karakter İlyas ve Filizsu, Berkeley’in Hylas ve Philonous Arasındaki Üç Konuşma’sındaki karakterlere gönderme yapıyor. Konuşmaların tarzı ve yaklaşımının Heykeltıraş Sophroniskos’un ve ebe Fenarete’nin oğlu olan Sokrates’in yönteminden ve dolayısıyla Platon’un yazdıklarından etkilendiğini zaten göreceksiniz. Kitap, bilim felsefesiyle ilgili konuları tartışma yöntemi ile ele alması açısından da Paul Feyerabend’in Bilgi Üzerine Üç Söyleşi’ne benziyor. Biraz önce bahsettiğim astrolojinin bilimselliği ile ilgili eğlenceli olduğu kadar – olumlu anlamda – kafa karıştırıcı bir şey okumak isterseniz, Fayerabend’in kitabını okumanızı hararetle öneririm.
Dediğim gibi derste keşfettiğim yöntem çok eski bir yöntem. Antik Yunan’dan günümüze dek pek çok felsefeci bu yöntemi kullanmış. Ancak not etmek gerekir ki bu yöntemin bazı eksiklikleri var.
Sıkılmazsanız Fayerabend’in dediklerine bir göz atın:
“Platon düşüncelerle yaşam arasındaki uçurumun söyleşiyle aşılabileceğini düşünmüştü – kendisince, geçmiş olayların yüzeysel bir anlatımı olan yazılı söyleşiyle değil değişik ortamlardan gelen kişiler arasında gerçek, sözlü bir alışverişle. Söyleşinin denemeden daha esinleyici olduğuna ben de katılıyorum. Savlar, uslamlamalar üretebilir. Savların, uslamlamaların işin içinde olmayanlar ya da başka bir okuldan uzmanlar üzerindeki etkilerini gösterebilir, bir denemenin ya da kitabın gizlemeye çalıştığı açık uçları ortaya serer, en önemlisi yaşamımızın en sağlam olduğuna inandığımız parçalarının kuruntuluğunu tanıtlayabilir. Sakıncalı yanı, bütün bunların yaşayan kişilerin, gözlerimizin önündeki eylemlerinde değil, kâğıt üzerinde yapılması. Yine bir tür arıtkan etkinliğe katılmaya çağrılıyoruz, başka sözler kullanırsak, yine yalnızca düşünmeye çağrılıyoruz. Yine, “salt” bilgi de içinde olmak üzere, yaşamlarımızı gerçekten biçimleyen düşünce, algı, duygu arasındaki savaşlardan çok uzağız.”
İsterseniz, Fayerabend’i hazmetmek için biraz ara verebilirsiniz. Bu kitaptaki diyaloglar felsefenin ağdalı diline aşina olmanızı kesinlikle gerektirmiyor. Ama kitaptaki soruları ilginç bulursanız, biraz bilim felsefesi okumanız gerekebilir!
Söyleşi yöntemini derste veya rakı sofrasında kullanmak ile bu yöntemle yazılmış bir kitabı okumak arasında büyük fark var. Çilingir sofrasındaki muhabbetin aksine, kitap sizin konuşmaya dâhil olmanıza izin vermeyecektir. Üstelik dâhil olmadığınız ve sizden farklı bir biçimde düşünenlere müdahale edemediğiniz bu konuşmaların sizin için sıkıcı olması da mümkün. Bu eksiklikleri gidermek için elimden geleni yaptım. Sizin aklınıza gelecek soruları tahmin edip konuşmalara şekil verirken bu soruları göz önüne aldım. Bunu yaparken, ne zaman ne düşüneceğinizi gerçekten iyi bilen bir astrologdan yardım aldım!
Konuşmaların sıkıcı olmamasına da özen gösterdim. Ancak, kimin neyi sıkıcı neyi ilgi çekici bulacağını bilemezdim. Eğer okurken sıkılırsanız, sevgilinizle veya arkadaşlarınızla konuşmayı deneyebilirsiniz. Sesinizi yükseltip, “Hey! Bu İlyas ile Filizsu saçmalıyor dostum! İktisat gerçekten saçma bir bilim, çünkü…” demenizi engelleyecek hiçbir şey yok. Zaten kitaptan sıkılıp kitapta bahsi geçen konular hakkında konuşmaya başlarsanız, bu kitap da amacına ulaşmış sayılır. Siz yine de sevgilinizle çıktığınız romantik bir akşam yemeğini “iktisatta rasyonellik” gibi konularla berbat etmeyin. Her şeyin bir yeri ve zamanı var! Ama derste ayağa kalkıp, “Hey! Millet! Cobweb bir iktisatçı değilmiş, örümcek ağıymış!” diye haykırabilirsiniz. Bu sınıfınızda büyük bir aydınlanmaya yol açacaktır!
Lafı uzattığımın farkındayım. Kitabın amacı, dediğim gibi, iktisadı sorgulamanızı ve bu sıkıcı bilimle (biraz da olsa) eğlenceli dakikalar geçirmenizi sağlamak. Herhangi bir gizli gündemim yok. Sizi bir serbest piyasa neferi veyahut yılmaz bir devrimci yapmak gibi amaçlarım da yok. Yeter ki siz soru sorun, sorgulayın ve düşünün. Tek isteğim bu. Belki bir gün karşılaşır iktisat politikası ve siyaset hakkında muhabbet ederiz. O zaman size kendi görüşlerimi anlatırım. Bunun yeri bu kitap değil.
Başlamadan önce şu astroloji ve iktisat arasındaki farkı ele alacağımı sanıyorsanız yanılıyorsunuz. Bu konuyu İlyas ve Filizsu arkadaşlarıyla tartışacak. Dikkat ederseniz “bu soruyu cevaplayacaklar” demiyorum! İlyas ve Filizsu, sadece astrolojiyi değil, başka meraklı konuları da ele alacaklar. Onların maymunlarda hayat kadınlığı müessesi ve oral seksin iktisadi analizi konusunda neler düşündüğünü bilmek istiyorsunuz öyle değil mi? Tabii ki istiyorsunuz. Astrologum cinsellikle ilgili konulara çok meraklı olduğunuzu söylemişti!
Haydi başlayalım!
- Bu bölümü kitaptan okumak için tıklayın